|
|
| | 1 | 2 |
| 3 | 4 | 5 | 6 | 7 | 8 | 9 |
| 10 | 11 | 12 | 13 | 14 | 15 | 16 |
| 17 | 18 | 19 | 20 | 21 | 22 | 23 |
| 24 | 25 | 26 | 27 | 28 | 29 | 30 |
| 31 | |
|
| |
|
|
|
|
|
|
|
|
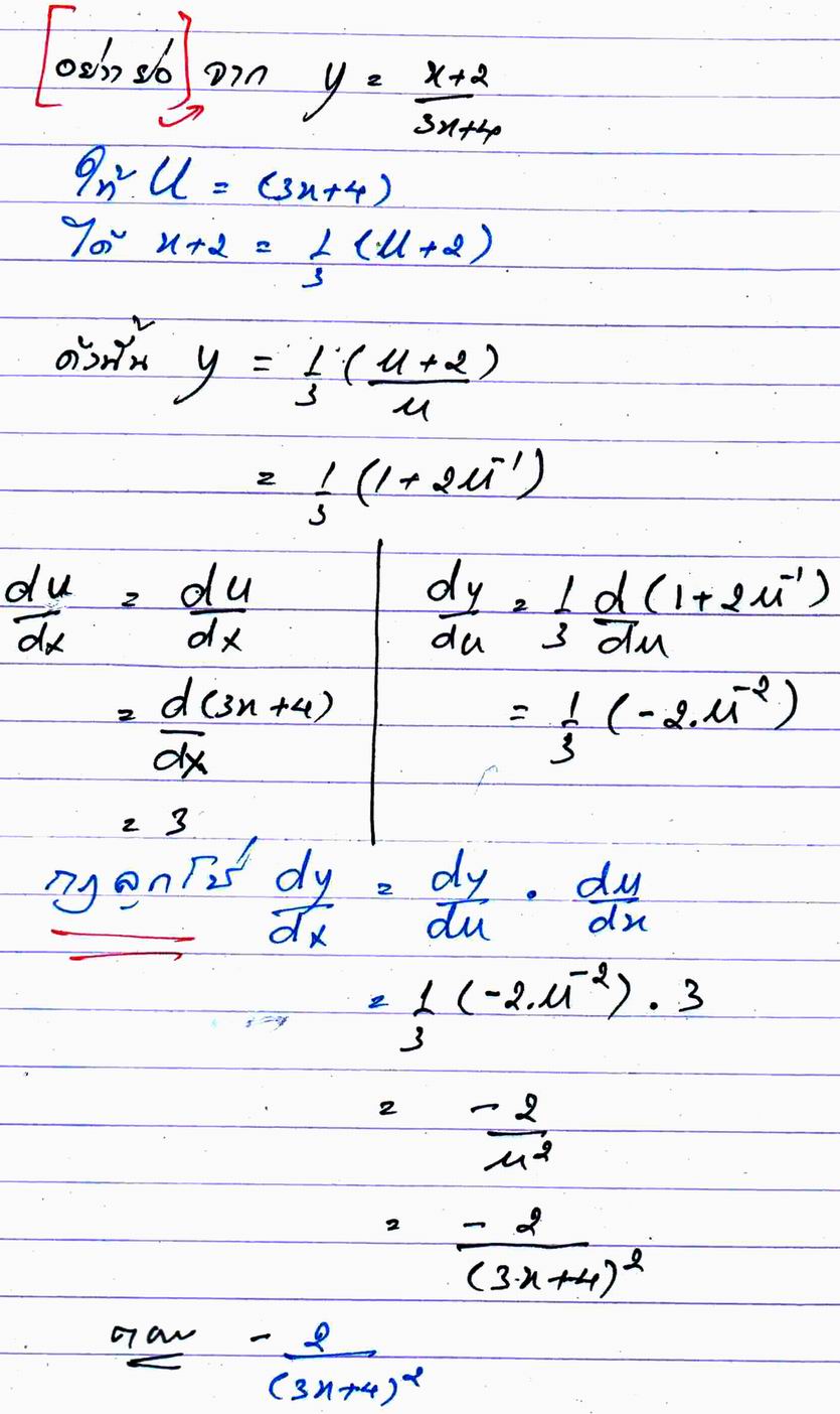
เลข32201 ข้อ กฎลูกโซ่
ลองดูนะครับ
น่าจะ พอทำได้นะครับ


ต่อนะครับ

สุดท้ายครับ

ใช้ wolf ครับ



ข้อ.3
ข้อ3. บริษัทผลิตสินค้าชนิดหนึ่ง รายงานว่า สัดส่วนของสินค้าที่มีตำหนิเล็กน้อย เท่ากับ 1.1 ถ้าสุ่มเลือกสินค้าชนิดนั้นมา 8 ชิ้นนำไปตรวจสอบค่าความน่าจะเป็นที่จะพบสินค้ามีตำหนิเล็กน้อยมีค่าอย่างมาก 2 ชิ้น จะมีค่าเท่าใด
ข้อนี้โจทย์ พิมพ์ ผิดนะครับ ผมโทรสอบถาม อาจารย์ให้แล้ว ตรง ตำหนิเล็กน้อยเท่ากับ 1.1 นั้น ---- > เปลี่ยนเป็น 0.1 ครับ
เฉลย ครับ อย่างละเอียด
เพื่อให้คำตอบ ขอตีความโจทย์ที่ว่า "สัดส่วนของสินค้าที่มีตำหนิเล็กน้อย เท่ากับ 10:1" ว่า คือ สินค้าที่มีตำหนิเล็กน้อย มีสัดส่วนเป็น 1 ใน 10 ของสินค้าทั้งหมด
จะได้ว่า ความน่าจะเป็นที่จะหยิบสินค้าขึ้นมาหนึ่งชิ้นแล้วไม่มีตำหนิ คือ 9/10 = 0.9
ให้ X คือ จำนวนสินค้าที่มีตำหนิ จาก จำนวนสินค้าทั้งหมดที่หยิบขึ้นมา (8 ชิ้น) ความน่าจะเป็นที่จะหยิบสินค้าขึ้นมา 8 ชิ้น แล้วไม่พบสินค้ามีตำหนิคือ P(X=0) = (8C0)x0.98x0.10 = 1x0.98x0.10 = 0.98
ที่ต้องคูณ 8C0 เพราะ วิธีการหยิบสินค้าให้ได้สินค้ามีตำหนิ 0 ชิ้น จากการหยิบสินค้า 8 ชิ้นมีวิธีหยิบได้ 1 วิธี
ความน่าจะเป็นที่จะหยิบสินค้าขึ้นมา 8 ชิ้น แล้วพบสินค้ามีตำหนิ 1 ชิ้นคือ P(X=1) = (8C1)x0.97x0.11 = 8x0.97x0.11
ที่ต้องคูณ 8C1 เพราะ วิธีการหยิบสินค้าให้ได้สินค้ามีตำหนิ 1 ชิ้น จากการหยิบสินค้า 8 ชิ้นมีวิธีหยิบได้ 8 วิธี
ความน่าจะเป็นที่จะหยิบสินค้าขึ้นมา 8 ชิ้น แล้วพบสินค้ามีตำหนิ 2 ชิ้นคือ P(X=2) = (8C2)x0.96x0.12 = 28x0.96x0.12
ที่ต้องคูณ 8C2 เพราะ วิธีการหยิบสินค้าให้ได้สินค้ามีตำหนิ 2 ชิ้น จาก 8 ชิ้นมีวิธีหยิบได้ 28 วิธี
ดังนั้น ความน่าจะเป็นที่จะหยิบสินค้า 8 ชิ้นแล้ว ได้สินค้าที่มีตำหนิอย่างมากสองชิ้น คือ
P(X=0) + P(X=1) + P(X=2)
= (0.98) + (8x0.97x0.11) + (28x0.96x0.12)
= 0.9619 หรือ 96.19%
อย่างย่อ P0 สามารถเกิดขึ้นได้8C0 = 8!/8!0! = 1 แบบ P1 สามารถเกิดขึ้นได้ 7C1 = 8!/7!1! = 8 แบบ P2 สามารถเกิดขึ้นได้6C2 = 8!/6!2! = 28 แบบ
Prob all = 1P0 + 8P1 + 28P2 = 0.43 + 0.38 + 0.15 = 0.96
ข้อสี่ครับ


ข้อ.1 ครับ





บทที่ 14 ข้อ 3 ก่อนและหลังเรียน
จากสูตร ข้างบน เราก็แทนค่าในสูตรกัน สูตรแรกนะครับ ข้อ 3 ก่อนเรียน สปส = 160 / [ sqrt(400) x sqrt(100) ] = 160/ [20 x 10] = 160 / 200 = 0.8 ตอบ ข้อ ค.
ข้อ 3 หลังเรียน สปส = -180 / [ sqrt(100) x sqrt(900) ] = -180/ [10 x 30] = -180 / 300 = - 0.6 ตอบ ข้อ ข.
ขอแปะรูป matrix ครับ

ข้อ.6 บท 5 หน้า 26 หลังเรียน ครับ

ฝากรูป เรื่อง set ครับ

โจทย์ 30205 บทที่ 2 ครับ

















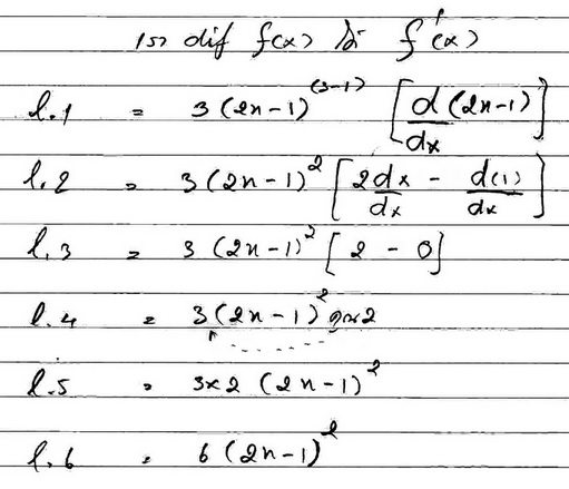
dif ธรรมดาครับ

| Create Date : 18 มกราคม 2553 |
| Last Update : 13 ธันวาคม 2554 23:24:47 น. |
|
18 comments
|
| Counter : 8881 Pageviews. |
 |
|
|
โดย: นนนี่มาแล้ว วันที่: 18 มกราคม 2553 เวลา:10:13:56 น. |
|
|
|
| โดย: nitaya.bao@ufp.co.th IP: 117.47.246.170 วันที่: 27 มกราคม 2553 เวลา:21:11:29 น. |
|
|
|
| โดย: ลุงแดง ลำปาง IP: 203.144.144.165 วันที่: 8 กุมภาพันธ์ 2553 เวลา:17:06:01 น. |
|
|
|
| โดย: น้าพร IP: 222.123.16.253 วันที่: 9 กุมภาพันธ์ 2553 เวลา:22:48:29 น. |
|
|
|
| โดย: ไอลีน IP: 203.144.144.164 วันที่: 15 กุมภาพันธ์ 2553 เวลา:14:31:23 น. |
|
|
|
| โดย: ลุงแดง ลำปาง IP: 118.174.26.61 วันที่: 16 กุมภาพันธ์ 2553 เวลา:20:44:11 น. |
|
|
|
| โดย: กนกพร IP: 10.5.50.35, 192.168.1.100, 58.9.191.160 วันที่: 4 มิถุนายน 2553 เวลา:20:56:39 น. |
|
|
|
| โดย: มือใหม่หัดซื้อบ้าน IP: 118.172.83.147 วันที่: 4 มิถุนายน 2553 เวลา:23:08:19 น. |
|
|
|
| โดย: sumonthip IP: 110.49.169.44 วันที่: 8 มิถุนายน 2553 เวลา:15:34:45 น. |
|
|
|
| โดย: wutt1980 IP: 90.228.222.170 วันที่: 6 กรกฎาคม 2553 เวลา:0:51:43 น. |
|
|
|
| โดย: saphan IP: 118.173.137.127 วันที่: 19 สิงหาคม 2553 เวลา:15:20:14 น. |
|
|
|
| โดย: ขอเขียน IP: 115.67.131.38 วันที่: 28 สิงหาคม 2553 เวลา:8:17:32 น. |
|
|
|
| โดย: yuri IP: 110.168.2.188 วันที่: 4 กันยายน 2553 เวลา:10:50:36 น. |
|
|
|
| โดย: กวิตา Email : kawikase@hotmail.com IP: 110.164.148.10 วันที่: 13 กันยายน 2553 เวลา:14:08:12 น. |
|
|
|
โดย: น้าพร วันที่: 3 ตุลาคม 2553 เวลา:13:46:56 น. |
|
|
|
| โดย: joykook IP: 115.67.72.14 วันที่: 6 ธันวาคม 2554 เวลา:21:09:39 น. |
|
|
|
| โดย: www.pimidea.com IP: 125.213.240.104 วันที่: 11 เมษายน 2555 เวลา:12:34:16 น. |
|
|
|
| โดย: ppaer IP: 180.183.80.28 วันที่: 25 เมษายน 2560 เวลา:19:57:32 น. |
|
|
|
|
|
|
|