veritas lux mea = Truth enlightens me
Group Blog
 
All blogs
 

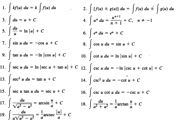
#O026#สูตรพื้นฐานของการหาอนุพันธ์และปริพันธ์

สูตรพื้นฐานการดิฟ
สูตรพื้นฐานการอินทิกรต

จะใช้ความเข้าใจหรือการจำสูตรพื้นฐานนี้ก็ได้ ใช้เวลาไม่มากนัก แต่ต้องใช่บ่อย








 

Create Date : 26 พฤษภาคม 2557    
Last Update : 26 พฤษภาคม 2557 19:43:48 น.
Counter : 43200 Pageviews.  
Share to Facebook

#O025#ชีวิตของมนุษย์ทั้งหลาย เปรียบเหมือนหยาดน้ำค้าง(อรกานุสาสนีสูตร)

อรกานุสาสนีสูตร

[๗๑] ดูกรภิกษุทั้งหลาย เรื่องเคยมีมาแล้ว ศาสดาชื่ออรกะ เป็น
เจ้าลัทธิ ปราศจากความกำหนัดในกาม ก็อรกศาสดานั้นมีสาวกหลายร้อยคน
เธอแสดงธรรมแก่สาวกอย่างนี้ว่า ดูกรพราหมณ์ ชีวิตของมนุษย์ทั้งหลายน้อย
นิดหน่อย รวดเร็ว มีทุกข์มาก มีความคับแค้นมาก จะพึงถูกต้องได้ด้วยปัญญา
ควรกระทำกุศล ควรประพฤติพรหมจรรย์ เพราะสัตว์ที่เกิดมาแล้วจะไม่ตายไม่มี
ดูกรพราหมณ์ หยาดน้ำค้างบนยอดหญ้า เมื่ออาทิตย์ขึ้นมา ย่อมแห้งหายไปได้เร็ว
ไม่ตั้งอยู่นาน แม้ฉันใด ชีวิตของมนุษย์ทั้งหลาย เปรียบเหมือนหยาดน้ำค้าง
ฉันนั้นเหมือนกัน นิดหน่อย รวดเร็ว มีทุกข์มาก มีความคับแค้นมาก จะพึง
ถูกต้องได้ด้วยปัญญา ควรกระทำกุศล ควรประพฤติพรหมจรรย์ เพราะสัตว์ที่เกิด
แล้วจะไม่ตายไม่มี ฯ

ดูกรพราหมณ์ เมื่อฝนตกหนัก หนาเม็ด ฟองน้ำย่อมแตกเร็ว ตั้งอยู่
ไม่นาน แม้ฉันใด ชีวิตของมนุษย์ทั้งหลาย เปรียบเหมือนฟองน้ำ ฉันนั้น
เหมือนกัน นิดหน่อย รวดเร็ว มีทุกข์มาก มีความคับแค้นมาก จะพึงถูกต้อง
ได้ด้วยปัญญา ควรกระทำกุศล ควรประพฤติพรหมจรรย์ เพราะสัตว์ที่เกิดมา
แล้วจะไม่ตายไม่มี ฯ

ดูกรพราหมณ์ รอยไม้ที่ขีดลงไปในน้ำ ย่อมกลับเข้าหากันเร็ว ไม่ตั้งอยู่
นาน แม้ฉันใด ชีวิตของมนุษย์ทั้งหลาย เปรียบเหมือนรอยไม้ที่ขีดลงไปในน้ำ
ฉันนั้นเหมือนกัน ... ฯ

ดูกรพราหมณ์ แม่น้ำไหลลงจากภูเขา ไหลไปไกล กระแสเชี่ยว
พัดไปซึ่งสิ่งที่พอจะพัดไปได้ ไม่มีระยะเวลาหรือชั่วครู่ที่มันจะหยุด แต่ที่แท้
แม่น้ำนั้นมีแต่ไหลเรื่อยไปถ่ายเดียว แม้ฉันใด ชีวิตของมนุษย์ทั้งหลาย เปรียบ
เหมือนแม่น้ำที่ไหลลงจากภูเขา ฉันนั้นเหมือนกัน ... ฯ

ดูกรพราหมณ์ บุรุษมีกำลัง อมก้อนเขฬะไว้ที่ปลายลิ้น แล้วพึงถ่มไป
โดยง่ายดาย แม้ฉันใด ชีวิตของมนุษย์ทั้งหลาย เปรียบเหมือนก้อนเขฬะ
ฉันนั้นเหมือนกัน ... ฯ

ดูกรพราหมณ์ ชิ้นเนื้อที่ใส่ไว้ในกระทะเหล็ก ไฟเผาตลอดทั้งวัน ย่อม
จะย่อยยับไปรวดเร็ว ไม่ตั้งอยู่นาน แม้ฉันใด ชีวิตของมนุษย์ทั้งหลาย เปรียบ
เหมือนชิ้นเนื้อ ฉันนั้นเหมือนกัน ... ฯ

ดูกรพราหมณ์ แม่โคที่จะถูกเชือด ที่เขานำไปสู่ที่ฆ่า ย่อมก้าวเท้าเดิน
ไปใกล้ที่ฆ่า ใกล้ความตาย แม้ฉันใด ชีวิตของมนุษย์ทั้งหลาย เปรียบเหมือน
แม่โคที่จะถูกเชือด ฉันนั้นเหมือนกัน นิดหน่อย รวดเร็ว มีทุกข์มาก มีความ
คับแค้นมาก จะพึงถูกต้องได้ด้วยปัญญา ควรกระทำกุศล ควรประพฤติ
พรหมจรรย์ เพราะสัตว์ที่เกิดมาแล้วจะไม่ตายไม่มี ฯ

ดูกรภิกษุทั้งหลาย ก็โดยสมัยนั้น มนุษย์ทั้งหลายมีอายุประมาณ
๖๐,๐๐๐ ปี เด็กหญิงมีอายุ ๕๐๐ ปี จึงควรแก่การมีสามี ก็โดยสมัยนั้น มนุษย์
ทั้งหลายมีอาพาธ ๖ อย่างเท่านั้น คือ เย็น ร้อน หิว ระหาย ปวดอุจจาระ
ปวดปัสสาวะ ดูกรภิกษุทั้งหลาย อรกศาสดานั้น เมื่อมนุษย์ทั้งหลายมีอายุยืน
ตั้งอยู่นาน มีอาพาธน้อยอย่างนี้ จักแสดงธรรมให้สาวกฟังอย่างนี้ว่า ดูกรพราหมณ์
ชีวิตของมนุษย์ทั้งหลายน้อย นิดหน่อย รวดเร็ว มีทุกข์มาก มีความคับแค้น
มาก จะพึงถูกต้องได้ด้วยปัญญา ควรกระทำกุศล ควรประพฤติพรหมจรรย์
เพราะสัตว์ที่เกิดมาแล้วจะไม่ตายไม่มี ฯ

ดูกรภิกษุทั้งหลาย ในปัจจุบันนี้ เมื่อจะกล่าวโดยชอบ ก็พึงกล่าวว่า
ชีวิตของมนุษย์ทั้งหลายน้อย นิดหน่อย รวดเร็ว มีทุกข์มาก มีความคับแค้น
มาก จะพึงถูกต้องได้ด้วยปัญญา ควรกระทำกุศล ควรประพฤติพรหมจรรย์
เพราะสัตว์ที่เกิดมาแล้วจะไม่ตายไม่มี ดูกรภิกษุทั้งหลาย ในปัจจุบันนี้ คนที่มี
อายุอยู่ได้นาน ก็เพียงร้อยปีหรือน้อยกว่านั้นบ้าง เกินกว่าบ้าง ก็คนที่มีอายุอยู่ถึง
ร้อยปี ย่อมอยู่ครบ ๓๐๐ ฤดู คือ ฤดูหนาว ๑๐๐ ฤดูร้อน ๑๐๐ ฤดูฝน ๑๐๐
คนที่มีอายุอยู่ถึง ๓๐๐ ฤดู ย่อมอยู่ครบ ๑,๒๐๐ เดือน คือ ฤดูหนาว ๔๐๐ เดือน
ฤดูร้อน ๔๐๐ เดือน ฤดูฝน ๔๐๐ เดือน คนที่มีอายุอยู่ถึง ๑,๒๐๐ เดือน ย่อม
อยู่ครบ ๒,๔๐๐ กึ่งเดือน คือ ฤดูหนาว ๘๐๐ กึ่งเดือน ฤดูร้อน ๘๐๐ กึ่งเดือน
ฤดูฝน ๘๐๐ กึ่งเดือน คนที่มีอายุอยู่ครบ ๒,๔๐๐ กึ่งเดือน ย่อมอยู่ครบ ๓๖,๐๐๐
ราตรี คือ ฤดูหนาว ๑,๒๐๐ ราตรี ฤดูร้อน ๑,๒๐๐ ราตรี ฤดูฝน ๑,๒๐๐ ราตรี
คนที่มีอายุอยู่ถึง ๓๖,๐๐๐ ราตรี ย่อมบริโภคอาหาร ๗๒,๐๐๐ เวลา คือ ฤดูหนาว
๒๔,๐๐๐ เวลา ฤดูร้อน ๒๔,๐๐๐ เวลา ฤดูฝน ๒๔,๐๐๐ เวลา พร้อมๆ กับดื่ม
นมมารดาและอันตรายแห่งการบริโภคอาหาร ใน ๒ ประการนั้น อันตรายแห่งการ
บริโภคอาหาร มีดังนี้ คือ คนโกรธย่อมไม่บริโภคอาหาร คนมีทุกข์ก็ไม่บริโภค
อาหาร คนป่วยไข้ก็ไม่บริโภคอาหาร คนรักษาอุโบสถก็ไม่บริโภคอาหาร เพราะ
ไม่ได้อาหารจึงไม่บริโภคอาหาร ดูกรภิกษุทั้งหลาย เราได้กำหนดอายุ ประมาณแห่ง
อายุ ฤดู ปี เดือน กึ่งเดือน ราตรี วัน การบริโภคอาหาร และอันตรายแห่งการ
บริโภคอาหาร ของมนุษย์ผู้มีอายุร้อยปี ด้วยประการดังนี้แล้ว ดูกรภิกษุทั้งหลาย
กิจใดที่ศาสดาผู้แสวงหาประโยชน์เกื้อกูล ผู้อนุเคราะห์เอื้อเอ็นดู พึงกระทำแก่
สาวก กิจนั้นเรากระทำแล้วแก่เธอทั้งหลาย ดูกรภิกษุทั้งหลาย นั่นโคนไม้ นั่น
เรือนว่าง ขอเธอทั้งหลายจงเพ่งพินิจ อย่าประมาท อย่าต้องเป็นผู้เดือดร้อนใจใน
ภายหลังเลย นี้คืออนุศาสนีของเราสำหรับเธอทั้งหลาย ฯ
จบสูตรที่ ๑๐

จบมหาวรรคที่ ๒

-----------------------------------------------------

รวมพระสูตรที่มีในวรรคนี้ คือ

๑. หิริสูตร ๒. สุริยสูตร ๓. นครสูตร ๔. ธัมมัญญูสูตร ๕. ปาริ-
*ฉัตตกสูตร ๖. สักกัจจสูตร ๗. ภาวนาสูตร ๘. อัคคิขันธูปมสูตร ๙. สุเนตต-
*อนุสาสนีสูตร ๑๐. อรกานุสาสนีสูตร




 

Create Date : 02 พฤษภาคม 2557    
Last Update : 2 พฤษภาคม 2557 20:21:14 น.
Counter : 1753 Pageviews.  
Share to Facebook

#O024#archive.org แหล่งรวมตำราเทกบุคเก่าจำนวนมาก

https://archive.org




 

Create Date : 11 เมษายน 2557    
Last Update : 11 เมษายน 2557 13:29:35 น.
Counter : 1605 Pageviews.  
Share to Facebook

#O023#Hilbert's Place






 

Create Date : 10 เมษายน 2557    
Last Update : 10 เมษายน 2557 15:59:01 น.
Counter : 1494 Pageviews.  
Share to Facebook

#O022#จุดของอินเตอร์เซกชันและจุดคุ้มทุน(points of intersection and break even point)

#O023#จุดของอินเตอร์เซกชันและจุดคุ้มทุน(points of intersection and break even point)

คู่อันดับที่เป็นผลเฉลยของสองสมการที่ต่างกันเรียกว่าจุดของอินเตอร์เซกชัน

เช่น y=x^2-3 และ y=x-1

มีสองจุดของอินเตอร์เซกชันคือ (2,1) , (-1,-2)

เพื่อจะแก้สมการจะได้

x^2-3 = x-1

การประยุกต์ทางธุรกิจของจุดของอินเตอร์เซกชันเรียกว่า จุดคุ้มทุน หรือ even-break point
โดยมูลค่าทั้งหมดของการผลิตสินค้ากำหนดคือ C และรายได้ทั้งหมดจากการผลิตสินค้ากำหนดคือ R โดยการหาจุดของอินเตอร์เซกชันเราก็จะได้จุดคุ้มทุน

เช่น

C=0.65x + 10000

R = 1.2x

R=C
1.2x = 0.65x+10000
0.55x = 10000
x = 10000/.55
x = 18182

ดังนั้นบริษัทต้องผลิตสินค้า 18180 ชิ้น ถึงจะถึงจุดคุ้มทุนนั่นเอง

จาก calculus an applied approach ของ Ron Larson




 

Create Date : 01 เมษายน 2557    
Last Update : 1 เมษายน 2557 17:31:04 น.
Counter : 1726 Pageviews.  
Share to Facebook

1  2  3  4  5  6  7  8  9  10  11  12  13  14  15  16  17  18  19  20  21  22  23  24  25  26  27  28  29  30  31  32  33  34  35  36  37  38  39  40  41  42  43  44  45  

Mr.Feynman
Location :


[Profile ทั้งหมด]

ฝากข้อความหลังไมค์
Rss Feed
Smember
ผู้ติดตามบล็อก : 17 คน [?]




Friends' blogs
[Add Mr.Feynman's blog to your web]
Links
 

 Pantip.com | PantipMarket.com | Pantown.com | © 2004 BlogGang.com allrights reserved.